ID LINK NAME STRUCTURE CAS MW ALogP nHBAcc nHBDon nRotB arR
Fung128 bentaluron Responsive image
28956-64-1
235.078 0.662 4 2 3 2
Fung139 bithionol Responsive image
97-18-7
353.884 2.852 0 2 2 2
Fung140 dichlorophen Responsive image
97-23-4
268.006 2.483 0 2 2 2
Fung142 hexachlorophene Responsive image
70-30-04
403.85 3.958 0 2 2 2
Fung143 parinol Responsive image
17781-31-6
330.045 1.796 2 2 3 3
Fung147 pyribencarb Responsive image
799247-52-2
362.127 1.54 2 2 8 2
Fung148 tolprocarb Responsive image
911499-62-2
346.15 2.579 2 2 10 1
Fung158 cyproconazole Responsive image
94361-06-5
291.114 -0.058 4 2 5 2
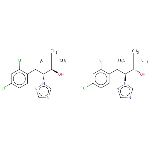
Fung159 diclobutrazol Responsive image
75736-33-3
327.091 2.139 4 2 5 2
Fung161 diniconazole Responsive image
83657-24-3
325.075 2.148 4 2 4 2
377 , 38