| ID LINK | NAME | STRUCTURE CAS | MW | ALogP | nHBAcc | nHBDon | nRotB | arR |
|---|---|---|---|---|---|---|---|---|
| Insec391 | chlorempenthrin |
![]() 54407-47-5 |
315.235 | 3.388 | 2 | 0 | 6 | 0 |
| Insec392 | cyclethrin |
![]() 97-11-0 |
328.445 | 3.488 | 3 | 0 | 5 | 0 |
| Insec393 | cycloprothrin |
![]() 63935-38-6 |
482.355 | 3.09 | 3 | 0 | 9 | 3 |
| Insec394 | cyfluthrin |
![]() 68359-37-5 |
434.288 | 3.347 | 3 | 0 | 7 | 2 |
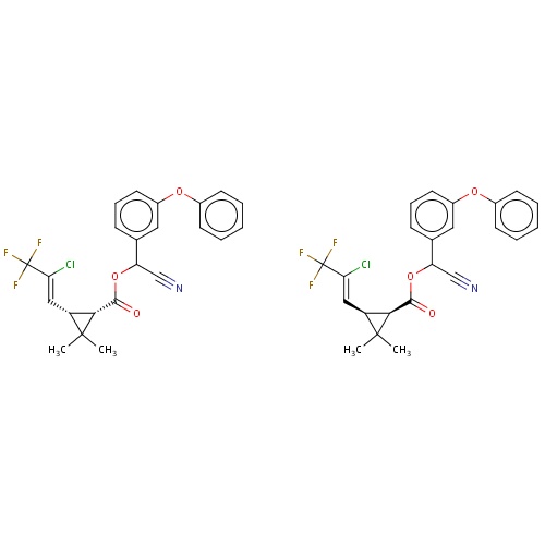
| Insec395 | cyhalothrin |
![]() 68085-85-8 |
449.85 | 3.923 | 3 | 0 | 8 | 2 |
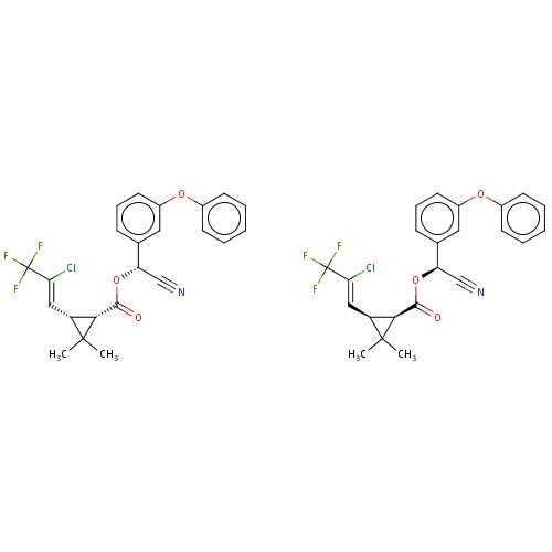
| Insec396 | gamma-cyhalothrin |
![]() 76703-62-3 |
449.85 | 3.923 | 3 | 0 | 8 | 2 |
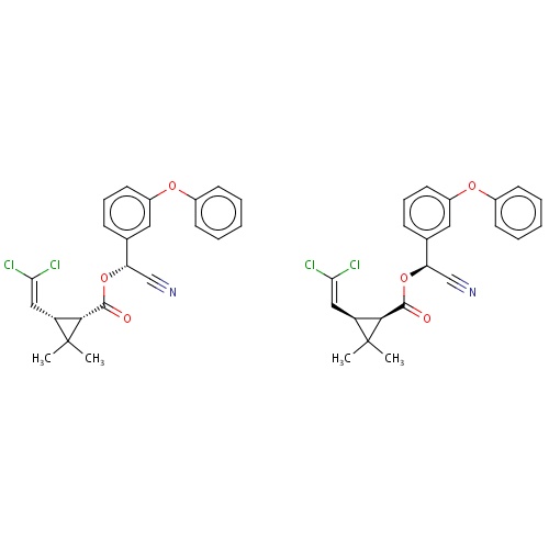
| Insec397 | lambda-cyhalothrin |
![]() 91465-08-6 |
449.85 | 3.923 | 3 | 0 | 8 | 2 |
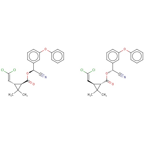
| Insec398 | cypermethrin |
![]() 52315-07-8 |
416.297 | 3.437 | 3 | 0 | 7 | 2 |
| Insec399 | alpha-cypermethrin |
![]() 67375-30-8 |
416.297 | 3.437 | 3 | 0 | 7 | 2 |
| Insec400 | theta-cypermethrin |
![]() 71697-59-1 |
416.297 | 3.437 | 3 | 0 | 7 | 2 |
495 ,
50









