| ID LINK | NAME | STRUCTURE CAS | MW | ALogP | nHBAcc | nHBDon | nRotB | arR |
|---|---|---|---|---|---|---|---|---|
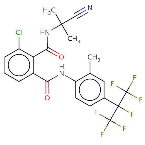
| Insec071 | cyantraniliprole |
![]() 736994-63-1 |
473.71 | 1.691 | 7 | 3 | 5 | 3 |
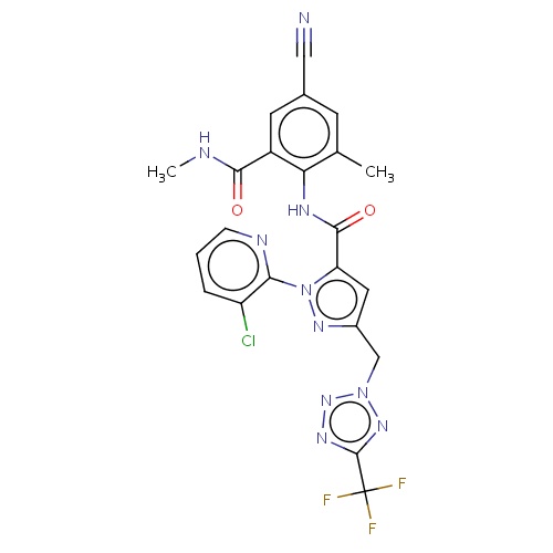
| Insec072 | cyclaniliprole |
![]() 1031756-98-5 |
602.106 | 2.113 | 5 | 3 | 8 | 3 |
| Insec073 | cyhalodiamide |
![]() 1262605-53-7 |
523.831 | 4.339 | 5 | 2 | 9 | 2 |
| Insec074 | flubendiamide |
![]() 272451-65-7 |
682.39 | 3.906 | 6 | 2 | 11 | 2 |
| Insec075 | tetraniliprole |
![]() 1229654-66-3 |
544.876 | 1.068 | 10 | 3 | 9 | 4 |
| Insec076 | dinex |
![]() 131-89-5 |
266.25 | 0.412 | 0 | 1 | 3 | 1 |
| Insec077 | dinoprop |
![]() 7257-41-2 |
240.213 | 2.091 | 0 | 1 | 3 | 1 |
| Insec078 | dinosam |
![]() 4097-36-3 |
254.239 | 1.224 | 0 | 1 | 5 | 1 |
| Insec079 | DNOC |
![]() 534-52-1 |
198.133 | 1.713 | 0 | 1 | 2 | 1 |
| Insec080 | flursulamid |
![]() 31506-34-0 |
555.251 | 3.593 | 3 | 1 | 12 | 0 |
495 ,
50









