| ID LINK | NAME | STRUCTURE CAS | MW | ALogP | nHBAcc | nHBDon | nRotB | arR |
|---|---|---|---|---|---|---|---|---|
| Insec485 | malonoben |
![]() 10537-47-0 |
282.38 | 3.708 | 2 | 1 | 3 | 1 |
| Insec484 | jiahuangchongzong |
![]() 78929-50-7 |
378.873 | 1.932 | 4 | 0 | 6 | 2 |
| Insec483 | isoprothiolane |
![]() 50512-35-1 |
290.399 | 1.408 | 4 | 0 | 6 | 0 |
| Insec482 | hydramethylnon |
![]() 67485-29-4 |
494.475 | 5.081 | 4 | 2 | 8 | 2 |
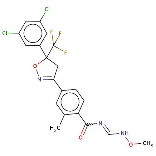
| Insec481 | fluxametamide |
![]() 928783-29-3 |
474.261 | 2.625 | 2 | 1 | 7 | 2 |
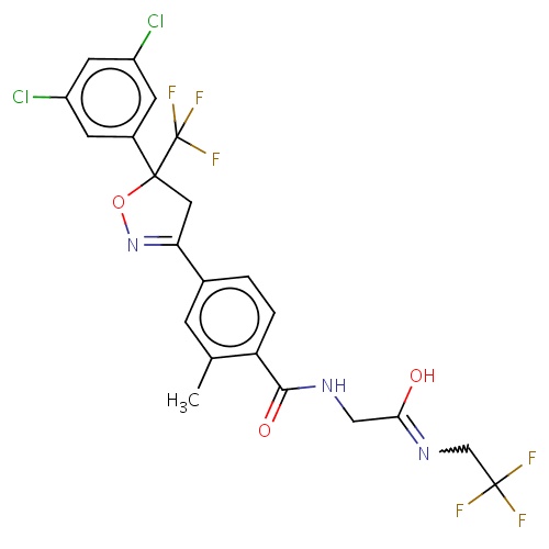
| Insec480 | fluralaner |
![]() 864731-61-3 |
556.285 | 3.959 | 3 | 2 | 9 | 2 |
| Insec479 | flupyradifurone |
![]() 951659-40-8 |
288.678 | 0.418 | 4 | 1 | 5 | 1 |
| Insec478 | fluhexafon |
![]() 1097630-26-6 |
326.335 | 0.391 | 3 | 0 | 6 | 0 |
| Insec477 | flonicamid |
![]() 158062-67-0 |
229.159 | -0.405 | 3 | 2 | 4 | 1 |
| Insec476 | flometoquin |
![]() 875775-74-9 |
435.393 | 3.646 | 4 | 1 | 8 | 3 |
495 ,
50









