| ID LINK | NAME | STRUCTURE CAS | MW | ALogP | nHBAcc | nHBDon | nRotB | arR |
|---|---|---|---|---|---|---|---|---|
| Insec445 | tralocythrin |
![]() 66841-26-7 |
576.105 | 4.816 | 3 | 0 | 8 | 2 |
| Insec444 | tetramethylfluthrin |
![]() 84937-88-2 |
348.333 | 2.215 | 3 | 0 | 6 | 1 |
| Insec443 | terallethrin |
![]() 15589-31-8 |
276.371 | 3.061 | 3 | 0 | 5 | 0 |
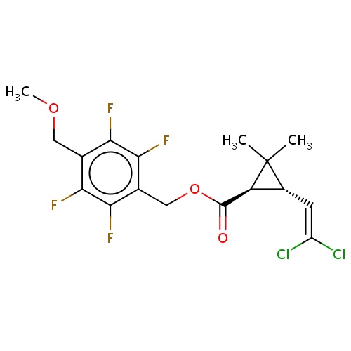
| Insec442 | kappa-tefluthrin |
![]() 391634-71-2 |
418.734 | 3.787 | 2 | 0 | 6 | 1 |
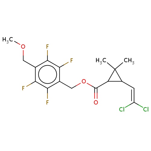
| Insec441 | tefluthrin |
![]() 79538-32-2 |
418.734 | 3.787 | 2 | 0 | 6 | 1 |
| Insec440 | cismethrin |
![]() 35764-59-1 |
338.44 | 2.282 | 2 | 0 | 7 | 2 |
| Insec439 | bioresmethrin |
![]() 28434-01-7 |
338.44 | 2.282 | 2 | 0 | 7 | 2 |
| Insec438 | resmethrin |
![]() 10453-86-8 |
338.44 | 2.282 | 2 | 0 | 7 | 2 |
| Insec437 | meperfluthrin |
![]() 915288-13-0 |
415.207 | 2.619 | 3 | 0 | 7 | 1 |
| Insec436 | renofluthrin |
![]() 352271-52-4 |
415.207 | 2.619 | 3 | 0 | 7 | 1 |
495 ,
50









